The OGIA model is used to probabilistically assess hydrological changes arising from coal resource development at water-dependent assets and receptors in the Maranoa-Balonne-Condamine subregion. Hydrological changes arising from coal resource development for two possible futures – the baseline and the coal resource development pathway (CRDP) – are assessed using a probabilistic approach. The baseline future includes all CSG developments included in the most recent Petroleum & Gas (P&G) Production Run (OGIA, 2014) and the five baseline open-cut coal mines: Cameby Downs, Commodore, Kogan Creek, New Acland Stage 2 and Wilkie Creek. The CRDP future includes the baseline coal resource developments plus the additional coal resource developments (ACRD – which consists of two open-cut coal mines) in the subregion. The difference in predicted water levels between the baseline and CRDP provides an estimate of water level impacts that are attributable to the ACRD.
Thresholds used to describe hydrological changes in the Maranoa-Balonne-Condamine subregion are consistent with those described in the Surat Underground Water Impact Report (UWIR) (QWC, 2012). Long-term affected areas in the Surat UWIR are defined as ‘the area within which water levels are predicted to fall, due to water extraction by petroleum tenure holders, by more than the trigger thresholds at any time in the future. The trigger thresholds are … 5 m for consolidated aquifers (such as sandstone) and 2 m for unconsolidated aquifers (such as sands)’ (QWC, 2012, p. 55).
Baseline groundwater drawdown
Hydrological changes in excess of 0.2 m baseline groundwater drawdown within the extent of each relevant geological layer are shown spatially in Figure 16 to Figure 21. Baseline groundwater drawdown in the vicinity of the five baseline coal mines is summarised in Table 11.
Model layer 1 – Alluvium (Condamine) and Main Range Volcanics extent includes watertable aquifers in the alluvium (including the Condamine Alluvium) and Main Range Volcanics. Figure 16 shows baseline groundwater drawdown predicted by the regional model in Model layer 1 – Alluvium (Condamine) and Main Range Volcanics, overlaid by predictions of groundwater drawdown associated with baseline CSG production from the Condamine Model within the Condamine Alluvium (QWC, 2012, Figure F-9). The data presented in Figure F-9 (QWC, 2012) from the Condamine Model is used to estimate impacts on groundwater levels within the Condamine Alluvium extent because groundwater drawdown associated with the baseline mines is not predicted in Model layer 10 – Walloon Coal Measures by the regional groundwater model within the Condamine Alluvium extent. Groundwater drawdown in the Condamine Alluvium is associated with baseline CSG production.
Baseline groundwater drawdown associated with CSG production near the mines is 10 m near Cameby Downs, 1.2 m near Kogan Creek and 0 m near New Acland Stage 2. The regional model predicts baseline groundwater drawdown in Model layer 1 – Alluvium (Condamine) and Main Range Volcanics within the mine pits at Cameby Downs (20–50 m), Kogan Creek (30–60 m) and New Acland Stage 2 (10–45 m). This groundwater drawdown is contained within the modelled pit extent, except in the vicinity of New Acland Stage 2 where baseline groundwater drawdown is less than 5 m within 5 to 10 km of the mine. The Wilkie Creek and Commodore coal mines are located outside of this model layer extent.
Baseline groundwater drawdown in excess of 0.2 m is predicted along the northern edge of Model layer 3 – Bungil Formation and Mooga Sandstone extent (Figure 17) and along the northern and eastern edges of Model layer 5 – Gubberamunda Sandstone (Figure 18). Maximum predicted baseline groundwater drawdown is 1.4 m in Model layer 3 – Bungil Formation and 19.7 m in Model layer 5 – Gubberamunda Sandstone. The five baseline coal mines are located outside of the extent of these model layers, which indicates that modelled baseline groundwater drawdown in these model layers is associated with CSG production.
Maximum predicted baseline groundwater drawdown is 113 m in Model layer 8 – Lower Springbok Sandstone in an area to the south-west of Chinchilla, which is associated with CSG production (Figure 19). Baseline groundwater drawdown in this model layer is approximately 30 m in an area north-east of Roma. The extent of this model layer includes two of the baseline mines: Kogan Creek and Wilkie Creek where drawdown is 50 to 60 m within the modelled mine pits and 15 to 30 m within 5 to 10 km of the mines. Baseline groundwater drawdown associated with CSG production in the area is 10 to 15 m. The Cameby Downs, Commodore and New Acland Stage 2 coal mines are located outside of this model layer extent.
Model layer 10 – Walloon Coal Measures is the target model layer for CSG production and open-cut coal mining. Maximum predicted baseline groundwater drawdown is 791 m in this model layer (Figure 20). Groundwater drawdown in excess of 700 m occurs in an area south-east of Roma and to the south-west of Chinchilla, which is associated with CSG production. The extent of Model layer 10 – Walloon Coal Measures includes the five baseline mines. Baseline groundwater drawdown associated with CSG production near the mines is 20 to 40 m near Cameby Downs and Kogan Creek, 10 to 30 m near Wilkie Creek, 0 m near New Acland Stage 2 and 3 to 5 m near the Commodore Mine. Groundwater drawdown in addition to that associated with CSG production is observed near the New Acland Stage 2 (<5 m) and Commodore (5–10 m) coal mines. Within the modelled pit areas, baseline groundwater drawdown is 20 to 30 m at Cameby Downs, 35 to 55 m at Kogan Creek, 10 to 35 m at Wilkie Creek, 15 to 20 m at New Acland Stage 2, and 20 to 30 m at the Commodore Mine. Baseline groundwater drawdown outside the modelled pit areas is not evident at Cameby Downs, Kogan Creek and Wilkie Creek. Groundwater drawdown is 0.2 to 5 m within 10 to 15 km of New Acland Stage 2 and 5 to 25 m within 15 to 20 km of the Commodore Mine in Model layer 10 – Walloon Coal Measures.
Maximum predicted baseline groundwater drawdown in Model layer 12 – Hutton / Marburg Sandstone is 18.7 m in an area north-east of Roma and 10 to 15 m in an area south-west of Chinchilla. Groundwater drawdown in both areas is associated with CSG production. Baseline groundwater drawdown associated with the modelled pit areas is evident within 10 to 15 km of New Acland Stage 2 (<1 m) and 5 to 10 km of Commodore (1–2 m) in this model layer.
The figure shows the 95th percentile of modelled baseline drawdown from the 200 uncertainty runs after 90 years (2013–2102) in excess of 0.2 m within the model layer extent.
In this figure, results are presented for only that part of the coal resource development pathway (CRDP) that can be modelled.
OGIA = Office of Groundwater Impact Assessment
Data: Office of Groundwater Impact Assessment (Dataset 2, Dataset 3, Dataset 4), Geoscience Australia (Dataset 5, Dataset 6), Bioregional Assessment Programme (Dataset 7)
The figure shows the 95th percentile of modelled drawdown from the 200 uncertainty runs after 90 years (2013–2102) in excess of 0.2 m within the model layer extent.
In this figure, results are presented for only that part of the coal resource development pathway (CRDP) that can be modelled.
OGIA = Office of Groundwater Impact Assessment
Data: Office of Groundwater Impact Assessment (Dataset 2, Dataset 3), Bioregional Assessment Programme (Dataset 7)
The figure shows the 95th percentile of modelled drawdown from the 200 uncertainty runs after 90 years (2013–2102) in excess of 0.2 m within the model layer extent.
In this figure, results are presented for only that part of the coal resource development pathway (CRDP) that can be modelled.
OGIA = Office of Groundwater Impact Assessment
Data: Office of Groundwater Impact Assessment (Dataset 2, Dataset 3), Bioregional Assessment Programme (Dataset 7)
The figure shows the 95th percentile of modelled drawdown from the 200 uncertainty runs after 90 years (2013–2102) in excess of 0.2 m within the model layer extent.
In this figure, results are presented for only that part of the coal resource development pathway (CRDP) that can be modelled.
OGIA = Office of Groundwater Impact Assessment
Data: Office of Groundwater Impact Assessment (Dataset 2, Dataset 3), Bioregional Assessment Programme (Dataset 7)
The figure shows the 95th percentile of modelled drawdown from the 200 uncertainty runs after 90 years (2013–2102) in excess of 0.2 m within the model layer extent.
In this figure, results are presented for only that part of the coal resource development pathway (CRDP) that can be modelled.
OGIA = Office of Groundwater Impact Assessment
Data: Office of Groundwater Impact Assessment (Dataset 2, Dataset 3), Bioregional Assessment Programme (Dataset 7)
The figure shows the 95th percentile of modelled drawdown from the 200 uncertainty runs after 90 years (2013–2102) in excess of 0.2 m within the model layer extent.
In this figure, results are presented for only that part of the coal resource development pathway (CRDP) that can be modelled.
OGIA = Office of Groundwater Impact Assessment
Data: Office of Groundwater Impact Assessment (Dataset 2, Dataset 3), Bioregional Assessment Programme (Dataset 7)
Table 11 Summary of 95th percentile baseline groundwater drawdown in the vicinity of the five baseline coal mines for the Maranoa-Balonne-Condamine subregion
Baseline groundwater drawdown predicted by the regional-scale Office of Groundwater Impact Assessment (OGIA) model associated with each coal mine is summarised by: CSG – drawdown associated with CSG production; DD – estimate of the extent of cumulative groundwater drawdown in the vicinity of each coal mine; and Pit – drawdown values in the modelled mine pits.
CM = Condamine Model, CSG = coal seam gas, DD = drawdown
agroundwater drawdown predicted by the Condamine Model presented in Figure F-9 (QWC, 2012)
Additional groundwater drawdown
Numerical groundwater modelling results of the difference in predicted water levels between the baseline and CRDP futures after 90 years (2013–2102) provides an estimate of water level impacts that are attributable to the ACRD. The CRDP future includes the baseline coal resource developments plus the two proposed open-cut coal mines: The Range and New Acland Stage 3 coal mines. Hydrological changes in excess of 0.2 m and 5 m additional groundwater drawdown (p=0.05) within the extent of each relevant geological layer are shown spatially in Figure 22 to Figure 24. The 0.05 probability of exceeding 0.2 m and 5 m additional drawdown is equivalent to the 95th percentile groundwater drawdown reported by OGIA. Additional groundwater drawdown in the vicinity of the two additional coal mines in excess of 0.2 m (p=0.05) is not predicted within the extent of Model layer 3 – Bungil Formation and Mooga Sandstone, Model layer 5 – Gubberamunda Sandstone or Model layer 8 – Lower Springbok Sandstone. Table 12 summarises modelled additional groundwater drawdown in the vicinity of the two proposed coal mines.
Figure 22 shows additional groundwater drawdown predicted by the regional model in Model layer 1 – Alluvium (Condamine) and Main Range Volcanics extent, which includes watertable aquifers in the alluvium (including the Condamine Alluvium) and Main Range Volcanics. Additional groundwater drawdown is not predicted in the vicinity of The Range coal mine in this model layer as it is situated on a Walloon Coal Measures outcrop and so is not represented in Model layer 1. The regional model predicts additional groundwater drawdown in excess of 0.2 m (p=0.05) within 20 to 30 km and in excess of 5 m within 10 to 15 km of the New Acland Stage 3 modelled pits. Geology near the New Acland Coal Mine includes Main Range Volcanics, alluvium and aquifer outcrop areas that are represented in Model layer 1.
Additional groundwater drawdown is predicted by the regional model in Model layer 10 – Walloon Coal Measures in the vicinity of the two additional coal mines (Figure 23). The proposed coal mines are near the eastern edge of the Walloon Coal Measures extent, which outcrops in this area. Additional groundwater drawdown is predicted in excess of 0.2 m (p=0.05) within 30 to 40 km of the New Acland Stage 3 and within 50 to 60 km of The Range modelled pits. The extent of modelled additional groundwater drawdown in excess of 5 m (p=0.05) is 15 km (p=0.05) in the vicinity of both The Range and New Acland Stage 3 coal mines in this model layer.
Additional groundwater drawdown of 0.2 to 1.0 m (p=0.05) is predicted in Model layer 10 – Walloon Coal Measures under the eastern edge of the Condamine Alluvium in the vicinity of the New Acland Coal Mine (Figure 23). The Condamine Model was not rerun for the bioregional assessment (BA). Instead, values of baseline groundwater drawdown predicted by the regional and Condamine models are used to estimate the maximum additional groundwater drawdown in this area. Baseline groundwater drawdown predicted in this area by the Condamine Model is 0.15 to 0.35 m (Model Layer 1 – Condamine Alluvium) and is 1 to 5 m in Model layer 10 – Walloon Coal Measures by the regional model. This indicates that 0.2 to 1.0 m additional groundwater drawdown predicted in Model layer 10 – Walloon Coal Measures in this area should result in less than 0.2 m additional groundwater drawdown in the Condamine Alluvium. This is consistent with the extent of additional groundwater drawdown predicted by the regional model in Model layer 1, which does not extend under the Condamine Alluvium (Figure 22).
Figure 24 shows the spatial extent of additional groundwater drawdown in Model layer 12 – Hutton / Marburg Sandstone. Additional groundwater drawdown is predicted in excess of 0.2 m (p=0.05) within 50 to 60 km of The Range coal mine, which coincides with the eastern edge of this model layer. The extent of modelled additional groundwater drawdown in excess of 0.2 m (p=0.05) is 30 to 40 km (p=0.05) in the vicinity of New Acland Stage 3 coal mine in this model layer. Additional groundwater drawdown in excess of 5 m (p=0.05) is not predicted in this model layer.
The drawdown contours show the 0.05 probability, or 95th percentile of the 200 uncertainty runs, of exceeding 0.2 m and 5 m additional drawdown after 90 years (2013–2102).
In this figure, results are presented for only that part of the coal resource development pathway (CRDP) that can be modelled.
OGIA = Office of Groundwater Impact Assessment
Data: Office of Groundwater Impact Assessment (Dataset 2, Dataset 3), Geoscience Australia (Dataset 5, Dataset 6), Bioregional Assessment Programme (Dataset 7)
The drawdown contours show the 0.05 probability, or 95th percentile of the 200 uncertainty runs, of exceeding 0.2 m and 5 m additional drawdown after 90 years (2013–2102).
In this figure, results are presented for only that part of the coal resource development pathway (CRDP) that can be modelled.
OGIA = Office of Groundwater Impact Assessment
Data: Office of Groundwater Impact Assessment (Dataset 2, Dataset 3), Bioregional Assessment Programme (Dataset 7)
The drawdown contours show the 0.05 probability, or 95th percentile of the 200 uncertainty runs, of exceeding 0.2 m and 5 m additional drawdown after 90 years (2013–2102).
In this figure, results are presented for only that part of the coal resource development pathway (CRDP) that can be modelled.
OGIA = Office of Groundwater Impact Assessment
Data: Office of Groundwater Impact Assessment (Dataset 2, Dataset 3), Bioregional Assessment Programme (Dataset 7)
Table 12 Summary of additional groundwater drawdown in the vicinity of the two additional coal mines for the Maranoa-Balonne-Condamine subregion
Additional groundwater drawdown predicted by the regional-scale Office of Groundwater Impact Assessment (OGIA) model associated with each coal mine is summarised by: 0.2 m – estimate of the extent of cumulative groundwater drawdown in excess of 0.2 m (p=0.05) in the vicinity of each coal mine; and 5 m – estimate of the extent of cumulative groundwater drawdown in excess of 5 m (p=0.05) in the vicinity of each coal mine.
Additional drawdown at economic bores
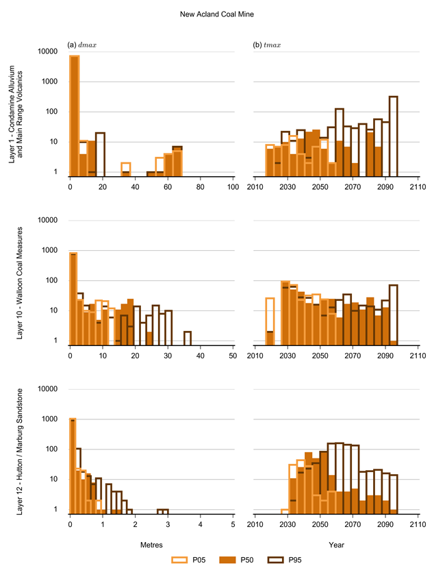
Hydrological changes due to additional coal resource development are presented as the maximum additional drawdown (dmax) and time to maximum drawdown (tmax) at the economic bores within two water balance areas in the Maranoa-Balonne-Condamine subregion. Two water balance areas are defined around the proposed open-cut coal mines (The Range and New Acland Stage 3 Coal Mine) that encompass all model grid cells where additional groundwater drawdown is greater than the minimum detectable difference (0.02 m) for the groundwater model. The New Acland Coal Mine water balance area contains 9213 bores and The Range water balance area contains 411 bores. The distribution of the 5th, 50th and 95th percentile values of dmax and tmax at the economic bores in affected aquifers (or model layers) are shown in Figure 25 and Figure 26 for the two water balance areas.
In the New Acland Coal Mine water balance area outside of the modelled pits, additional groundwater drawdown in excess of 0.2 m (p=0.05) is predicted at 98 bores (up to 65 m additional groundwater drawdown) in Model Layer 1 – Alluvium (Condamine) and Main Range Volcanics, 237 bores (up to 37 m additional groundwater drawdown) in Model layer 10 – Walloon Coal Measures and 108 bores (up to 2.9 m additional groundwater drawdown) in Model layer 12 – Hutton / Marburg Sandstone (Figure 25). Model Layer 1 – Alluvium (Condamine) and Main Range Volcanics includes 30 bores and Model layer 10 – Walloon Coal Measures includes 49 bores with 95th percentiles values of dmax greater than 5 m. Baseline groundwater drawdown (p=0.05) at these bores ranges from 0 to 45 m in Model Layer 1 – Alluvium (Condamine) and Main Range Volcanics and 0 to 19 m in Model layer 10 – Walloon Coal Measures.
Additional groundwater drawdown in excess of 0.2 m (p=0.05) is not predicted in Model Layer 1 – Alluvium (Condamine) and Main Range Volcanics in The Range water balance area (Figure 22). The Range water balance area (outside of the modelled pits) includes 95th percentile values of dmax in excess of 0.2 m at 29 bores in Model layer 10 – Walloon Coal Measures (0 to 14 m additional groundwater drawdown) and at 29 bores in Model layer 12 – Hutton / Marburg Sandstone (0 to 0.7 m additional groundwater drawdown) (Figure 26). Model layer 10 – Walloon Coal Measures includes 7 bores with 95th percentiles values of dmax between 5 and 14 m additional groundwater drawdown and baseline groundwater drawdown (p=0.05) of 0.7 to 2 m.
Overall, 86 of approximately 19,000 bores are predicted to experience hydrological changes in excess of a 95th percentile value of 5 m additional groundwater drawdown in the Maranoa-Balonne-Condamine subregion. The median time to reach maximum drawdown difference (tmax) is greater for small additional hydrological changes and less for larger changes in each model layer. This is because the larger values of dmax occur in bores close to the mines or within the modelled pits and the drawdown in these bores occurs in the years that immediately follow the mining activity. Smaller values of dmax are observed in bores located further from the mines and occur in later years when the groundwater drawdown propagates to these bores. This is consistent with groundwater responses to hydrological change.
In this figure, results are presented for only that part of the coal resource development pathway (CRDP) that can be modelled. The number of economic bores in each category is shown using a logarithmic scale on the y-axis. The modelled time period is 90-years from 2012 to 2102.
Data: Bioregional Assessment Programme (Dataset 1)
In this figure, results are presented for only that part of the coal resource development pathway (CRDP) that can be modelled. The number of economic bores in each category is shown using a logarithmic scale on the y-axis. The modelled time period is 90-years from 2012 to 2102.
Data: Bioregional Assessment Programme (Dataset 1)
Product Finalisation date
- 2.6.2.1 Methods
- 2.6.2.2 Review of existing models
- 2.6.2.3 Model development
- 2.6.2.4 Boundary and initial conditions
- 2.6.2.5 Implementation of coal resource development pathway
- 2.6.2.6 Parameterisation
- 2.6.2.7 Observations and predictions
- 2.6.2.8 Uncertainty analysis
- 2.6.2.9 Limitations
- Glossary
- Citation
- Acknowledgements
- Contributors to the Technical Programme
- About this technical product










