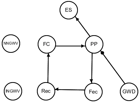
A signed digraph model was developed for the vegetative community associated with the ‘Non-floodplain, terrestrial GDE’ landscape group. The model focused on recruitment dynamics associated with groundwater-dependent native tree species (referred to as full canopy (FC) in the models), with the primary production associated with tree canopies providing a range of (as yet unspecified) ecosystem roles. There was uncertainty in the extent to which native trees benefited native non-groundwater-dependent vegetation (i.e. canopy microclimate) or suppressed invasive non-groundwater-dependent vegetation, which led to the development of two alternative signed digraph models (Figure 35 and Figure 36).
Model variables are: ecosystem roles (ES), full canopy (FC), fecundity (Fec), groundwater depletion (GWD), invasive non-groundwater vegetation (INGWV), native non-groundwater vegetation (NNGWV), primary production (PP) and recruitment (Rec). GDE = groundwater-dependent ecosystem
Data: Bioregional Assessment Programme (Dataset 4)
Model variables are: ecosystem roles (ES), full canopy (FC), fecundity (Fec), groundwater depletion (GWD), invasive non-groundwater vegetation (INGWV), native non-groundwater vegetation (NNGWV), primary production (PP) and recruitment (Rec). GDE = groundwater-dependent ecosystem
Data: Bioregional Assessment Programme (Dataset 4)
Conceptual modelling, coupled with surface water and groundwater numerical modelling for the Galilee subregion indicated the potential impact of coal mining to groundwater depletion, which was included as a cumulative impact scenario in Table 28.
Table 28 Summary of the (cumulative) impact scenario (CIS) for the 'Non-floodplain, terrestrial GDE' landscape group in the Galilee subregion zone of potential hydrological change
| CIS | GWD | 
|---|---|
| C1 | + | 
Pressure scenarios are determined by combinations of no-change (0), increase (+) or a decrease (–) in the signed digraph variable: groundwater depletion (GWD). Scenario C1 shows the expected impacts under the coal resource development pathway (CRDP). GDE = groundwater-dependent ecosystem
Data: Bioregional Assessment Programme (Dataset 4)
Qualitative analysis of the signed digraph models (Figure 35 and Figure 36) indicates a negative response prediction for all biological variables (Table 29 and Table 30, respectively), except for invasive non-groundwater vegetation, which is predicted to increase in Model 1. In Model 2 (Table 30), native non-groundwater vegetation and invasive non-groundwater vegetation both have predictions of zero change, which is a consequence of not being connected to the rest of the system.
Table 29 Predicted response of the signed digraph variables (Model 1) of ‘Non-floodplain, terrestrial GDE’ landscape group to (cumulative) changes in the hydrological response variable
Qualitative mathematical model predictions that are completely determined are shown without parentheses. GDE = groundwater-dependent ecosystem
Data: Bioregional Assessment Programme (Dataset 4)
Table 30 Predicted response of the signed digraph variables (Model 2) of ‘Non-floodplain, terrestrial GDE’ landscape group to (cumulative) changes in hydrological response variables
Qualitative mathematical model predictions that are completely determined are shown without parentheses. Zero denotes completely determined predictions of no change. GDE = groundwater-dependent ecosystem
Data: Bioregional Assessment Programme (Dataset 4)
 
						
			  		Product Finalisation date
- 2.7.1 Methods
- 2.7.2 Overview- 2.7.2.1 Introduction
- 2.7.2.2 Potentially impacted landscape groups
- 2.7.2.3 'Springs' landscape group
- 2.7.2.4 Streams landscape groups
- 2.7.2.5 'Floodplain, terrestrial GDE' landscape group
- 2.7.2.6 'Non-floodplain, terrestrial GDE' landscape group
- 2.7.2.7 Outline of content in the following landscape group sections
- References
- Datasets
 
- 2.7.3 'Springs' landscape group
- 2.7.4 Streams landscape groups
- 2.7.5 'Floodplain, terrestrial groundwater-dependent ecosystem' landscape group
- 2.7.6 'Non-floodplain, terrestrial groundwater-dependent ecosystem' landscape group
- 2.7.7 Limitations and gaps
- Citation
- Acknowledgements
- Contributors to the Technical Programme
- About this technical product
 
						
