- Home
- Assessments
- Bioregional Assessment Program
- Namoi subregion
- 3-4 Impact and risk analysis for the Namoi subregion
- 3.4 Impacts on and risks to landscape classes
- 3.4.3 'Floodplain or lowland riverine' (non-Pilliga) landscape group
3.4.3.1 Description
The ‘Floodplain or lowland riverine’ landscape group occupies a land area of approximately 6% of the assessment extent and makes up around a quarter of the entire length of the stream network across the assessment extent. The landscape classification used by the Assessment team defined four ‘lowland’ riverine classes based on their topographical and geomorphological features (i.e. lowland), their water regime (i.e. permanent or temporary) and the likelihood of intersecting with known surface expression groundwater-dependent ecosystems (GDEs) (see Section 2.3.3 in companion product 2.3 for the Namoi subregion (Herr et al., 2018) for further details). The classification also captures a range of terrestrial features across the riparian – floodplain transition.
The lowland riverine landscape classes in this group include ecosystems adjacent to the Namoi River and its major tributaries and are low‑gradient channels typically incised into alluvium with silt or sandy beds. There are limited riffles and fast water habitats in these streams and mostly pool habitat in those stream reaches with more temporary water regimes. In streams, such as Maules Creek, the channel is incised into sands and sand gravels with some riffles and cobble-bottomed stretches. Lowland stream systems in the Namoi subregion encompass a range of flow regimes. Riverine landscape classes classified as ‘permanent’ have surface flows greater than 80% of the time and are mostly found along the Namoi River and lower reaches of Mooki Creek and Peel River. Streams classified as ‘temporary’ have surface flows less than 80% of the time and cover a large collection of small tributaries to the Namoi River on the Liverpool Plains and Castlereagh-Barwon regions (Bioregional Assessment Programme, Dataset 1).
Floodplains can be defined broadly as a collection of landscape and ecological elements exposed to inundation or flooding along a river system (Rogers, 2011). The floodplain landscapes of the Namoi assessment extent are predominantly lowland-dryland systems incorporating a range of wetland types such as riparian forests, marshes, billabongs, tree swamps, anabranches and overflows (Rogers, 2011). The floodplain elements comprising the landscape classification include riparian forests, located within or directly adjacent to the stream channel; floodplain grassy woodlands that occupy the floodplain further away from the stream channel; and off-channel water bodies or wetlands that are interspersed along the floodplain (see Section 2.3.3 of companion product 2.3 (Herr et al., 2018) for further details). These features are also classified as ‘GDEs’ based on available GDE mapping (NSW Department of Primary Industries, Dataset 4), indicating a greater likelihood of additional water sources from the underlying alluvial aquifer. More details of this landscape group are provided in Section 2.7.3 of companion product 2.7 (Ickowicz et al., 2018).
The key hydrological determinants of ecosystem function identified by experts in the qualitative modelling workshops (companion product 2.7 for the Namoi subregion (Ickowicz et al., 2018)) have been interpreted as a set of hydrological response variables and receptor impact variables for each landscape class (Table 18). The assignment of hydrological response variables for landscape classes recognises the predominant ecohydrological linkages between water regime and ecosystem health and thus hydrological impacts on landscape classes are presented accordingly (Table 18). However, the experts expressed some uncertainty around the likelihood of groundwater dependency in some of the vegetation types classified as ‘Grassy woodland GDE’, thus a receptor impact model was not built to quantify potential ecosystem impacts (Section 3.4.6).
There are two landscape classes in the ‘Floodplain or lowland riverine’ landscape group (non-Pilliga region) where groundwater drawdown was assigned as a hydrological response variable: ‘Floodplain riparian forest’ and ‘Floodplain riparian forest GDE’. The corresponding receptor impact variable for riparian forests was identified as changes in projected foliage cover (Table 18). The frequency of overbank flows was identified as being an important driver of the riparian ecosystem (‘Floodplain riparian forest’ and ‘Floodplain riparian forest GDE’ landscape classes) as well as the off-channel water bodies or floodplain wetlands (‘Floodplain wetland’ and ‘Floodplain wetland GDE’ landscape classes; Table 18). The experts at the quantitative modelling workshop considered the presence of tadpoles in the genus Limnodynastes as the key receptor impact variable for floodplain wetlands. The cease-to-flow attributes of the surface water regime were considered as critical response variables for the riverine landscape classes and were assigned annual number of zero-flow days and annual maximum zero-flow spells (defined in Table 18). Assemblages of macroinvertebrates in the edge habitat were deemed to be appropriate receptor impact variables for gauging impacts on these cease-to-flow attributes of the flow regime (Table 18).
Table 17 Areas and/or lengths of landscape classes in the ‘Floodplain or lowland riverine’ landscape group within the entire assessment extent and the non-Pilliga region of the zone of potential hydrological change
The percentage of contribution of each landscape class to the total area of the zone of potential hydrological change is also given.
aExtent of each landscape class is either an area of vegetation (km2), length of stream network (km) or number of springs (number)
Data: Bioregional Assessments (Dataset 2)
3.4.3.2 Potential hydrological impacts
3.4.3.2.1 Groundwater
As a result of additional coal resource development, 0.6 km2 of the ‘Floodplain riparian forest GDE’ landscape class are subject to a 50% chance of greater than 2 m drawdown and 0.8 km2 are subject to greater than 0.2 m drawdown (Table 19). No impact from groundwater drawdown was predicted for the small portion of ‘Floodplain riparian forest’ (0.2 km2) within the zone of potential hydrological change.
Table 18 Summary of the hydrological response variables and corresponding receptor impact variables used in the receptor impact models for the ‘Floodplain or lowland riverine’ landscape group, together with the corresponding qualitative model (signed digraph) that describes the ecosystem linkages among different components
The proportion of landscape classes with surface water modelling is also provided.
a‘Non-Pilliga’ as used here refers to those parts of the zone of potential hydrological change that fall outside of the ‘Pilliga region’.
See Section 2.7.3 of companion product 2.7 for the Namoi subregion (Ickowicz et al., 2018) for further details.
na = not applicable
Table 19 Area (km2) of ‘Floodplain riparian forest’ and ‘Floodplain riparian forest GDE’ landscape classes (non-Pilliga) potentially exposed to varying levels of baseline drawdown and drawdown due to additional coal resource development in the zone of potential hydrological change
The area potentially exposed to ≥0.2, ≥2 and ≥5 m baseline drawdown and additional drawdown is shown for the 5th, 50th and 95th percentiles. Baseline drawdown is the maximum difference in drawdown (dmax) under the baseline relative to no coal resource development. Additional drawdown is the maximum difference in drawdown (dmax) due to additional coal resource development relative to the baseline. Areas within mine pit exclusion zones are excluded from further analysis.
Data: Bioregional Assessment Programme (Dataset 2)
3.4.3.2.2 Surface water
The extent of surface water modelling for the floodplain riparian forest landscape classes was quite high, with approximately 68% of the total area of these two landscape classes having model data (Table 18). Of the 72 km2 of ‘Floodplain riparian forest GDE’ within the zone of potential hydrological change, only 0.5 km2 is exposed to a 50% chance of a decrease of at least one overbank event per 20 years during the 2013 to 2042 simulation period (Table 20). However, it is very unlikely (less than 5% chance) that the frequency of overbank flows will decrease for the 2073 to 2102 simulation period for this landscape class (0.8 km2; Table 20). Within the riverine lowland landscape classes, ‘Permanent lowland stream GDE’ and ‘Temporary lowland stream GDE’ are very unlikely to be impacted as no change in either of the hydrological response variables assigned to them was detected (see Section 3.4.3.2.2 for details). No changes in overbank flows were detected in the ‘Floodplain riparian forest’ landscape class for any simulation periods, which covers a very small area in the zone of potential hydrological change (0.2 km2; Table 16).
Approximately 63% of the total extent of floodplain wetlands within the zone of potential hydrological change had surface water modelling results (Table 18). Any change in overbank flow events across the extent of floodplain wetlands is very unlikely, with 7.7 km2 of ‘Floodplain wetland’ and 19.7 km2 of ‘Floodplain wetland GDE’ having a 5% chance of experiencing one less event every 50 years during the 2013 to 2042 simulation period (Table 20). However, no declines in the frequency of overbank flows for floodplain wetlands were detected for the 2073 to 2102 simulation period (Table 20).
Surface water modelling data were available for approximately 46% of the total stream length classified as lowland riverine (Table 18). Only the two most common lowland riverine landscape classes are at risk from increases in the number of zero-flow days per year, ‘Permanent lowland stream’ and ‘Temporary lowland stream’. The ‘Permanent lowland stream’ landscape class encompasses 979.6 km in the zone of potential hydrological change and includes the Namoi River and lower reaches of its major tributaries: Mooki River, Maules and Coxs creeks, and Peel River (Table 21). There is a 50% chance of an increase of 20 or more zero-flow days per year in 16.9 km of the stream network classified as ‘Permanent lowland stream’ during the 2013 to 2042 simulation period (Table 21 and Figure 26). For the 2073 to 2102 simulation period there are only 4.4 km of stream reaches in this class having a 50% chance of an increase of 20 or more zero-flow days per year and 48.9 km where there is a 50% chance of an increase of 3 or more days (Table 21 and Figure 27). Although a much larger portion of the stream network in the zone of potential hydrological change is classified as ‘Temporary lowland stream’ (2062.2 km) only 9.5 km are at risk of a 50% chance of an increase of 20 or more zero-flow days (for the 2013 to 2042 simulation period; Table 21 and Figure 26). This same amount of stream is at risk of a 50% chance of an increase of 20 or more zero-flow days for the 2073 to 2102 simulation period (Table 21 and Figure 27).
A similar pattern of change was observed for the change in annual maximum zero-flow spells across the ‘Permanent lowland stream’ and ‘Temporary lowland stream’ landscape classes. For the 2013 to 2042 simulation period, 16.9 km of ‘Permanent lowland stream’ are exposed to a 50% chance of an increase of 10 days or more in annual maximum zero-flow spells (Table 22 and Figure 28). This value decreases (2 km) for the 2073 to 2102 simulation period for the ‘Permanent lowland stream’ reaches (Table 22 and Figure 29). A total of 9.5 km of ‘Temporary lowland stream’ is at risk of a 50% chance of an increase of 10 days or more in the annual maximum zero-flow spells for the 2013 to 2042 simulation period (Table 22 and Figure 28) and remains similar (9.5 km) for the 2073 to 2102 simulation period (Table 22 and Figure 29). It is very unlikely that the ‘Permanent lowland stream GDE’ and ‘Temporary lowland stream GDE’ landscape classes will be impacted by an increase in the annual maximum zero-flow spells.
Table 20 Area (km2) of landscape classes in the ‘Floodplain or lowland riverine’ (non-Pilliga) landscape group potentially exposed to a decrease in overbank flow events for two different simulation periods: 2042 and 2102, in the zone of potential hydrological change
The area potentially exposed to one fewer overbank flow event every 50, 20 and 10 years compared to the baseline period is shown for the 5th, 50th and 95th percentiles. An overbank flow event is equivalent to a peak daily streamflow exceeding a reference value equivalent to a return period of 3 years as defined from modelled baseline flow in the reference period (1983 to 2012). Areas within mine pit exclusion zones are excluded from further analysis.
Data: Bioregional Assessment Programme (Dataset 2)
Table 21 Length (km) of landscape classes in the ‘Floodplain or lowland riverine’ (non-Pilliga) landscape group potentially exposed to an increase in zero-flow days for two different simulation periods: 2042 and 2102, in the zone of potential hydrological change
The length potentially exposed to ≥3, ≥20 and ≥80 days increase in zero-flow days compared to the baseline period is shown for the 5th, 50th and 95th percentiles.
Data: Bioregional Assessment Programme (Dataset 2)
The extent of the coal resource developments in the coal resource development pathway (CRDP) is the union of the extents in the baseline and in the additional coal resource development (ACRD).
Data: Bioregional Assessment Programme (Dataset 1)
The extent of the coal resource developments in the coal resource development pathway (CRDP) is the union of the extents in the baseline and in the additional coal resource development (ACRD).
Data: Bioregional Assessment Programme (Dataset 2)
Table 22 Length (km) of riverine classes in the ‘Floodplain or lowland riverine’ (non-Pilliga) landscape group potentially exposed to an increase in annual maximum zero-flow spells for two different simulation periods: 2042 and 2102, in the zone of potential hydrological change
The length potentially exposed to ≥3, ≥10 and ≥40 days increase in the length of the maximum zero-flow spell during the 30-year simulation period compared to the baseline period (1983 to 2012) is shown for the 5th, 50th and 95th percentiles.
Data: Bioregional Assessment Programme (Dataset 2)
The extent of the coal resource developments in the coal resource development pathway (CRDP) is the union of the extents in the baseline and the additional coal resource development (ACRD).
Data: Bioregional Assessment Programme (Dataset 1)
The extent of the coal resource developments in the coal resource development pathway (CRDP) is the union of the extents in the baseline and the additional coal resource development (ACRD).
Data: Bioregional Assessment Programme (Dataset 1)
3.4.3.3 Potential ecosystem impacts
The potential for ecosystem impacts on those areas classified as ‘Floodplain or lowland riverine’ within the zone of potential hydrological changes was estimated using three separate receptor impact models (see Table 18). To gauge an overall indication of ecosystem risk across this landscape group, the results of these receptor impact models were aggregated. This was done using the differences for each receptor impact variable (average number of families of aquatic macroinvertebrates, projected foliage cover of E. camaldulensis and the probability of presence of tadpoles from the Limnodynastes genus) between the CRDP and baseline futures that were derived for each assessment unit where model data were available. Three risk thresholds were defined for each receptor impact variable at the 95th percentile based on the spread of model results for each assessment unit for average number of families of aquatic macroinvertebrates, projected foliage cover and the probability of presence of tadpoles, respectively:
- ‘at minimal risk of ecological and hydrological changes’ – decreases less than 3, 0.10 and 0.05
- ‘at some risk of ecological and hydrological changes’ – decreases between 3 and 8, 0.10 and 0.2 and 0.05 and 0.15
- ‘more at risk of ecological and hydrological changes’ – decreases greater than 8, less than 0.2 and less than 0.15.
These thresholds were selected based on Figure 30, which presents the risk composite for the three receptor impact models based on the thresholds described above, whereby the highest level of risk determined from one or more receptor impact variables for any assessment defines the overall level of risk for that unit. The strength of this representation is in the comparison within the landscape class because it provides a measure of the relative risk and emphasises where attention should focus, and also where it should not. Where assessment units are assessed as ‘more at risk’ this corresponds to a level of hydrological change that may be commensurate with some ecosystem change. While receptor impact variables are chosen as indicators of ecosystem condition for a landscape class, a more detailed and local consideration of risk needs to consider the specific values at the location that community are seeking to protect (e.g. particular assets) because that will help identify meaningful thresholds. It is also necessary to bring in other lines of evidence that include the magnitude of the hydrological change and the qualitative mathematical models.
The greatest concentrations of ‘more at risk’ and ‘at some risk’ assessment units are located along the Namoi River and its tributaries, Maules Creek, Back Creek and Bollol Creek (Figure 30). Of the 1425 assessment units included in one or more of the impact models, 51 were predicted to have ‘at minimal risk’ and 29 ‘more at risk’, with most of these risk categories being determined by potential impacts on lowland riverine landscape classes and floodplain wetland landscape classes. The existing condition of these stream reaches considered to be exposed to ‘at some risk’ or ‘more at risk’ is defined by the NSW river condition index (Healey et al., 2012). This mapping suggests that the combined instream value (based on distinctiveness, diversity, naturalness and vital habitat values) is high to very high in those potentially impacted reaches of the Namoi River and is low to medium along the tributaries (Department of Primary Industries, 2017). Assessments of riverine macroinvertebrate condition across the Namoi river basin indicate a poor to moderate condition in this part of the catchment (OEH, 2010a). The subsequent sections describe the specific results of each model that contribute to the observed location and magnitude of risks described here.
The level of risk: ‘at minimal risk of ecological and hydrological changes’ (‘at minimal risk’), ‘at some risk of ecological and hydrological changes’ (‘at some risk’) and ‘more at risk of ecological and hydrological changes’ (‘more at risk’) is presented for different assessment units where the receptor impacts are modelled for the different landscape classes. Remaining assessment units for the relevant classes in ‘Floodplain or lowland riverine’ group without receptor impact modelling and surface water modelling are also shown (green). Extent captures areas with ‘at some risk’ or ‘more at risk’ assessment units.
Data: Bioregional Assessment Programme (Dataset 5)
3.4.3.3.1 Lowland riverine
The receptor impact model for lowland riverine landscape classes modelled the relationship between cease-to-flow hydrological response variables (zero-flow days and maximum zero-flow spells) and average number of families of aquatic macroinvertebrates in edge habitat (see Table 16).
There were no detectable differences in predicted mean changes, across all assessment units, in average number of families of aquatic macroinvertebrates across the lowland riverine landscape classes between baseline and CRDP futures across the different percentile simulation periods (2042 and 2102) (Figure 31a). This accords with the limited length (74.9 km of ‘Permanent lowland stream’ and ‘Temporary lowland stream’ landscape classes) of lowland streams predicted to have increases of greater than 50 days of zero-flow days and greater than 10 days of maximum zero-flow spells.
However, an assessment of the modelled changes in number of families of aquatic macroinvertebrates at a given assessment unit identified locations across the extent of the lowland riverine landscape classes that are at risk due to coal resource development (Figure 31b). Declines in predicted average number of families of aquatic macroinvertebrates due to additional coal resource development were similar between simulation periods and ranged from approximately –16 to –17 families at the 5th percentile to approximately –4 to –3 families at the 50th percentile (Figure 31b). An increase in predicted average number of families of aquatic macroinvertebrates was observed in the 95th percentile (Figure 31b).
The declines in stream discharge and attendant increases in the duration and frequency of cease‑to-flow periods are likely to impact on aquatic invertebrates through changes in habitat condition and water quality and the physical extent and nature of the riverine habitat (Rolls et al., 2012). Abrupt changes in macroinvertebrate family richness may occur in the initial stages of drying in streams where drying is not common (Leigh and Datry, 2017). The magnitude and nature of the change in macroinvertebrate composition are likely to depend on whether changes in habitat are sustained enough to reduce resilience of taxa by removing potential refugia for different assemblages that can enable recovery after the cessation of the zero-flow period (Lake, 2003).
(a) Box and whisker plots of modelled average number of families of aquatic macroinvertebrates in 2042 and 2102 in lowland streams under both baseline and coal resource development pathway (CRDP) futures. (b) Differences in predicted average number of families of aquatic macroinvertebrates between CRDP and baseline futures for each assessment unit containing lowland riverine landscape classes. The relevant thresholds used to delineate changes in the receptor impact variable associated with ‘at some risk of ecological and hydrological changes’ and ‘more at risk of ecological and hydrological changes’ are indicated by the orange and red dashed horizontal lines.
Data: Bioregional Assessment Programme (Dataset 5)
3.4.3.3.2 Floodplain riparian forests
Ecological risk to the floodplain riparian forests, most commonly dominated by E. camaldulensis, was estimated using a receptor impact model using the response of projected foliage cover to changes in groundwater drawdown and overbank flows (see Table 18).
Similarly to lowland riverine landscape classes, no differences in projected foliage cover were detected across the extent of the riparian forests within the zone of potential hydrological change. Projected foliage cover at 2042 had a median value of 0.1 with a range of 0.02 (at the 5th percentile) to 0.38 (at the 95th percentile) (Figure 32a). Differences due to additional coal resource development within assessment units showed declines in projected foliage cover only at the 5th percentile in only a limited number of assessment units (Figure 32b), reflecting the limited area ‘at some risk’ to changes in groundwater drawdown and decreases in overbank flow events (Table 19 and Table 20).
(a) Box and whisker plots of projected foliage cover in 2042 and 2102 in floodplain riparian forests in under both baseline and coal resource development pathway (CRDP) futures. (b) Difference in projected foliage cover between CRDP and baseline futures for each assessment unit containing floodplain riparian forests. The relevant thresholds used to delineate changes in the receptor impact variable associated with ‘at some risk of ecological and hydrological changes’ and ‘more at risk of ecological and hydrological changes’ are indicated by the orange and red dashed horizontal lines.
Data: Bioregional Assessment Programme (Dataset 5)
3.4.3.3.3 Floodplain wetlands
A receptor impact model for floodplain wetlands (‘Floodplain wetland’ and ‘Floodplain wetland GDE’ landscape classes) was formulated using overbank flow events as the hydrological response variable to predict changes in the probability of the presence of tadpoles from the Limnodynastes genus (L. dumerilii, L. salmini, L. interioris and L. terraereginae) in pools and riffles (see Table 18).
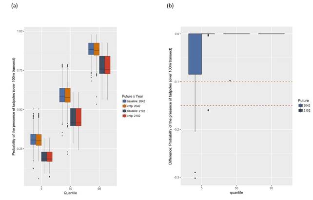
Over the entire extent of floodplain wetlands in the zone of potential hydrological change, no differences in the probability of the presence of tadpoles were detected; median probabilities at 2042 were approximately 0.58 (ranging from 0.30 at the 5th percentile to 0.88 at the 95th percentile) (Figure 33a). At the level of the assessment unit, differences in the probability of the presence of tadpoles due to additional coal resource development were only evident at the 5th percentile with probabilities predicted to decrease up to 0.3 in the most severely impacted assessment unit (Figure 33b). Accordingly, declines in overbank flow events equivalent to one less flow event every 20 years were detected for 1.2 km2 of floodplain wetlands adjacent to lowland streams.
(a) Box and whisker plots of probability of the presence of tadpoles in 2042 and 2102 in floodplain wetlands under both baseline and coal resource development pathway (CRDP) futures. (b) Difference in the probability of the presence of tadpoles cover between the CRDP and baseline futures for each assessment unit. The relevant thresholds used to delineate changes in the receptor impact variable associated with ‘at some risk of ecological and hydrological changes’ and ‘more at risk of ecological and hydrological changes’ are indicated by the orange and red dashed horizontal lines.
Data: Bioregional Assessment Programme (Dataset 5)
Product Finalisation date
- 3.1 Overview
- 3.2 Methods
- 3.3 Potential hydrological changes
- 3.4 Impacts on and risks to landscape classes
- 3.4.1 Overview
- 3.4.2 Landscape classes that are unlikely to be impacted
- 3.4.3 'Floodplain or lowland riverine' (non-Pilliga) landscape group
- 3.4.4 'Non-floodplain or upland riverine' (non-Pilliga) landscape group
- 3.4.5 Pilliga riverine (upland and lowland)
- 3.4.6 Potentially impacted landscape classes lacking quantitative ecological modelling
- References
- Datasets
- 3.5 Impacts on and risks to water-dependent assets
- 3.6 Commentary for coal resource developments that are not modelled
- 3.7 Conclusion
- Citation
- Acknowledgements
- Contributors to the Technical Programme
- About this technical product







