- Home
- Assessments
- Bioregional Assessment Program
- Methods
- Impacts and risks
- 5 Reporting and communicating impacts and risks
5.1 Overview
Barrett et al. (2013) (the BA methodology) considered the impact and risk analysis as separate but intimately linked components (see Figure 1). As the BA methodology has been applied to particular assessments it has made sense to combine the impact analysis (Component 3) and risk analysis (Component 4) and present a joint product 3-4 (impact and risk analysis).
The impact analysis quantifies the magnitude or extent of the hydrological or ecosystem change that may eventuate from coal resource development. This includes considering indirect impact and cumulative impacts. The risk analysis is related but considers not only the magnitude and extent of the potential change (or impact), but also the likelihood of that impact eventuating.
5.2 Impact and risk profiles
The development through Component 1: Contextual information and Component 2: Model-data analysis (Figure 3) provides the foundations for assessing potential impacts and risks to water resources and water-dependent assets due to coal resource development in a bioregion or subregion. The subsequent prediction of potential hydrological changes (via hydrological response variables) and ecosystem changes (via receptor impact variables amongst other lines of evidence), and the consideration of the magnitude and likelihood of specific changes, enables the impacts and risks to be quantified.
Across the four components of a full BA this results in a substantial information base that includes coal resource developments, hazards and causal pathways, asset registers and asset classes, landscape classes and landscape groups, predictions of hydrological change, and predictions of ecosystem change. There are challenges to summarise and synthesise this information base in a structured and insightful manner.
The information base, and the impact and risk analysis, are reported and communicated in three profiles for a bioregion or subregion. These are summarised in Figure 8 and include:
- a characterisation of the hydrological impact, including the summary of changes in the hydrological response variables, the identification of one or more zones of potential hydrological change, and a discussion of changes that are in scope but that are not modelled quantitatively
- a landscape class profile, which rules out landscape classes that are outside the zone of potential hydrological change. For landscape classes within the zone, the profile assesses the hydrological changes (through hydrological response variables) and the ecological changes (through receptor impact variables) that individual landscape classes may experience. Note that receptor impact models may be developed for a prioritised subset of landscape classes within the zone, with the landscape class priority governed by factors such as the spatial extent, legislative significance and the availability of external scientific expertise for the qualitative mathematical modelling or expert elicitation
- an asset profile, which summarises potential hydrological changes for surface water and groundwater economic assets and rules out ecological assets that are outside the zone of potential hydrological change. For ecological assets within the zone of potential hydrological change, the changes individual assets may experience are summarised by hydrological response variables (for hydrological changes) and receptor impact variables (for ecological changes).
GW = groundwater; LC = landscape class; SW = surface water
Different BAs may use subsets of these profiles. For instance, if no receptor modelling is conducted, the assessment of change for ecological assets and landscape classes is limited to summarising the changes in the hydrology that ecological asset and landscape class may experience.
The focus on ruling out potential impacts is emphasised in all three profiles in Figure 8. The hydrological analyses define a zone of potential hydrological change beyond which meaningful hydrological changes are considered very unlikely (less than 5% chance of exceeding the given change beyond the zone based on the distribution of modelled predictions). Those landscape classes and assets that do not intersect with the zone of potential hydrological change are ruled out from potential impacts and not analysed further. Where there is intersection, asset or landscape class centric summaries are necessary for hydrological response variables and receptor impact variables that are available and pertinent to that asset or landscape class. For the most part, that relevance is determined by the qualitative mathematical model and receptor impact modelling for the landscape class.
In bioregions or subregions without relevant modelled or empirical data, the impact and risk analysis needs to work within the constraints of the available information and the scale of the analysis while respecting the aspirations and intent of the BA methodology. This might mean that the uncertainties are large enough that no well-founded inferences can be drawn – that is, the hazards and potential impacts cannot be positively ruled out.
The structure within product 3-4 (impact and risk analysis) directly follows the three impact profiles in Figure 8. The following subsection provides additional guidance around each of these profiles.
5.2.1 Hydrological impacts
The focus of this profile is on describing the surface water and groundwater hydrological changes at regional scale. It should use the hydrological response variables that are routinely available across the bioregion or subregion and seek to provide additional interpretation and context over product 2.6.1 (surface water numerical modelling) and product 2.6.2 (groundwater numerical modelling) by considering the hydrological implications of any changes. For instance, is it likely that a perennial stream may become more intermittent based on changes to the hydrological response variables?
As part of that narrative it is important to characterise the hydrological changes that may eventuate across the bioregion or subregion under the baseline coal resource development (baseline). While the primary focus of BA is on the impacts that may be attributable to additional coal resource development, the implications of that impact may depend critically on the potential hydrological changes that are already occurring under baseline (i.e. the implication of an additional 0.80 m of drawdown may be quite different if the drawdown under baseline is 0.5 m, 5 m or even 50 m).
Context may come from other sources as well. For instance, putting the hydrological change due to additional coal resource development in the context of the interannual variability will allow the reader to appreciate if the changes that may occur due to additional coal resource development are already experienced by the ecosystem. If that ratio is small, this suggests any change due to coal resource development is swamped by the interannual variability.
A primary focus of this section is on understanding the potential hydrological changes due to additional coal resource development, and using those to define a zone of potential hydrological change that encapsulates potential surface water and groundwater changes. Once defined it provides a key filter for ruling out potential impacts. Landscape classes or assets that fall outside the zone of potential hydrological change are assessed as being very unlikely to have any impact. For landscape classes that are either partially or wholly within the zone of potential hydrological change further investigation is required and is described in Section 5.2.2 and Section 5.2.3.
Throughout the hydrological analysis the intent should be to try to characterise and understand predictions of hydrological response variables. It is much less about the attribution, and what particular causal pathway contributed the change, as the modelling integrates different causal pathways, and much more about the effect itself and understanding it relative to the interannual variability that is experienced under baseline. Where possible, it is valuable to identify specific causal pathways because it may assist with mitigation strategies and inform monitoring that should be undertaken.
It is essential to frame the hydrological analysis more broadly than modelled work because that aligns with the intent and breadth of the hazard analysis. All in-scope hazards should be considered whether that be by numerical hydrological modelling, site-based management processes or other processes. For instance, while changes in salinity are not modelled by surface water and groundwater models in BAs, it is important to draw on existing knowledge and understanding of key system processes and concepts to provide the input to a qualitative analysis. As another example, in many cases parts of the stream network cannot be modelled or interpolated from the existing model nodes but may experience impacts. It is essential that these impacts (and those to any associated ecosystems) are identified and carried through in the analysis even though they cannot be quantified.
5.2.2 Landscape class profile
The landscape class profile considers impacts and risks to landscape classes. The underpinning landscape classification summarises the surface ecosystems with similar physical, biological and hydrological characteristics. It is a key construct in addressing the large number of water-dependent assets, reducing some of the complexity to focus on the important processes, functions and interactions, and in addressing the needs of a regional-scale assessment. It is the resolution at which receptor impact models are developed and applied. From an impact and risk perspective the landscape classification is a crucial vehicle for understanding and communicating potential impacts through their more aggregated system-level view.
For an individual landscape class, a primary question is whether that landscape class intersects with the zone of potential hydrological change. Landscape classes or assets that lie outside of the zone of potential hydrological change are very unlikely to experience any hydrological change due to additional coal resource development. The assessment consequently infers there are no potential ensuing impacts to that landscape class, and those parts of water-dependent assets that are within that landscape class, on the basis of those hydrological changes considered within BAs.
Where a landscape class, either wholly or partially, intersects with the zone of potential hydrological change, there is the potential for impact. This does imply that there is impact, only that it cannot be ruled out on the basis of the analysis thus far. It is useful to summarise that intersection, and characterise the extent of the landscape class that is within the zone of potential hydrological change compared to that part that is outside and thus very unlikely to experience any hydrological change. This task is sometimes termed an ‘overlay analysis’ within BA. There are times when the spatial context may be important. For instance, if an entire landscape class is contained within the zone it may receive additional scrutiny.
The qualitative mathematical model for a landscape (Section 2.3.10; and companion submethodology M08 (as listed in Table 1) for receptor impact modelling (Hosack et al., 2018a)) identifies the important hydrological drivers (hydrological response variables) for that landscape class. The receptor impact modelling process also identifies key ecosystem indicators (receptor impact variables) from the qualitative mathematical model and expert consultation. Receptor impact models subsequently make predictions of those receptor impact variables for all locations (with the required modelled hydrology) within the landscape class.
Characterising the potential impacts to a landscape class involves summarising the: (i) potential hydrological changes that landscape class may experience (via landscape class specific hydrological response variables which may differ from some of the routinely calculated hydrological response variables used in the surface water and groundwater modelling; see Table 4), and (ii) the potential ecosystem change that landscape class may observe (via landscape class specific receptor impact variables). Those summaries can be in the form of:
- maps of landscape classes that show predictions of hydrological response variables or receptor impact variables at individual assessment units
- tables or figures that summarise the extent of the landscape class that may receive varying categories of changes in those specific hydrological response variables and receptor impact variables. This extent may be summarised as an area for polygon landscape classes, length for linear landscapes classes (e.g. riverine), or counts for point landscape classes (e.g. springs) depending on the nature of the landscape class
- an aggregated summary of change in hydrological response variables or receptor impact variables across that landscape class (e.g. contrasting distributions of a receptor impact variable between the baseline and CRDP). Composite maps of risk across multiple receptor impact variables for a landscape class or landscape group may be used to provide a spatial context to potential risk, and indicate where future effort should be directed.
These options are summarised in Figure 9. Given that there are predictive distributions for the potential change in the hydrological response variables and the receptor impact variables, there are choices to be made as to how those distributions are summarised through maps, tables or figures. The approach adopted is use the 5th, 50th and 95th percentiles or the equivalent framed in terms of exceedance probabilities.
Figure 9 Landscape class summary of potential impacts
ACRD = additional coal resource development; HRV = hydrological response variable; LC = landscape class; RIV = receptor impact variable
For predictions of receptor impact variables it is important to note that these predictions represent the predicted change in receptor impact variables across the landscape class for that change in hydrological response variable at that assessment unit. These do not represent predictions of receptor impact variables at that location, but rather the average prediction across the landscape class for that change in hydrology.
Throughout these summaries there are two key contrasts for each landscape class. The first contrast is between the predictions of the hydrological response variables or receptor impact variables under the baseline against those changes attributable to additional coal resource development. If there are changes under the baseline, this may indicate the potential for ecosystem change irrespective of additional coal resource development. Where the changes attributable to additional coal resource development are evident, this may indicate the effect of those additional coal mines or CSG operations.
The second contrast is between the two time points – the 30 years to 2042 as an indication of potential impacts near peak production, and the 30 years to 2102 as an indication of potential enduring impacts from coal resource development in the bioregion or subregion.
5.2.2.1 Example: Maranoa-Balonne-Condamine subregion
Figure 10, Figure 11 and Table 6 present a (draft) example from the ‘Non-floodplain or upland riverine (including non-GAB GDEs)’ landscape group within the Maranoa-Balonne-Condamine subregion. The ‘Non-floodplain or upland riverine (including non-GAB GDEs)’ landscape group includes ecosystems that are dependent on upland streams and wetlands that are not associated with alluvial systems and non-Great Artesian Basin groundwater-dependent ecosystems (non-GAB GDEs). There are nine landscape classes within the ‘Non-floodplain or upland riverine (including non-GAB GDEs)’ landscape group. Refer to product 2.3 for the Maranoa-Balonne-Condamine subregion (Holland et al., 2016) for further description of the landscape classes.
Figure 10 focuses on additional coal resource development around two mines – an expansion at New Acland and a new mine at ‘The Range’. The groundwater zone of potential hydrological change is highlighted in orange. The ‘Non-floodplain or upland riverine (including non-GAB GDEs)’ landscape group within the zone is shaded by the groundwater drawdown attributable to additional coal resource development. This represents some of the change in hydrology that may be experienced by this landscape group that is attributable to additional coal resource development. While only groundwater changes are modelled in the Maranoa-Balonne-Condamine subregion, in other bioregions and subregions hydrological response variables that are identified as important to the landscape class (or group) of interest should also be shown in this way. In areas where there is no change in hydrological response variables the inference would be that there is no change in the receptor impact variables and therefore no impact expected for that landscape class.
Figure 11 presents the cumulative area or length of the ‘Non-floodplain or upland riverine (including non-GAB GDEs)’ landscape group that will receive varying levels of drawdown for groundwater predictions at the 5th, 50th and 95th percentiles. For groundwater drawdown, the 5th percentile can be interpreted as saying that it is very likely that at least this area or length will receive a given level of drawdown. The 95th percentile means that it is very likely that at most this area or length will receive a given level of drawdown. Figure 11 aggregates the cumulative areas or lengths across the nine landscape classes in the landscape group. The bottom panels in Figure 11 present a scatterplot of the additional drawdown versus the baseline drawdown by assessment unit. This representation makes it possible to see the interaction between the two drawdowns, and indeed if additional drawdown coincides with areas already receiving drawdown under baseline or not.
Table 6 cross tabulates the areas and lengths within the ‘Non-floodplain or upland riverine (including non-GAB GDEs)’ landscape group for three specific choices of additional drawdown (>0.2 m, >2 m and >5 m) and for the groundwater predictions at the 5th, 50th and 95th percentiles. A similar table can be created for the baseline drawdown. The tabulated areas and lengths can be extracted visually from Figure 11 but are much clearer in Table 6.
Analogous cumulative tables and figures can be created for other hydrological response variables and equally receptor impact variables that are relevant to the ‘Non-floodplain or upland riverine (including non-GAB GDEs)’ landscape group. The intent with each table or figure is to highlight areas or lengths that may experience varying levels of change in hydrological response variables or receptor impact variables under both the baseline and due to additional coal resource development.
Example only; do not use for analysis. This is an early draft of a figure published in companion product 3-4 for the Maranoa-Balonne-Condamine subregion (Holland et al., 2017). See Holland et al. (2017) for full explanation and interpretation of the final results, which might vary from that shown here.
Median is the 50th percentile. Baseline drawdown is the maximum difference in drawdown (dmax) under the baseline relative to no coal resource development. Additional drawdown is the maximum difference in drawdown (dmax) between the coal resource development pathway (CRDP) and baseline, due to additional coal resource development. Landscape classes within operational and proposed pits are not included in this analysis. ACRD = additional coal resource development, CSG = coal seam gas, GAB = Great Artesian Basin, GDE = groundwater-dependent ecosystem
Example only; do not use for analysis. This is an early draft of a figure published in companion product 3-4 for the Maranoa-Balonne-Condamine subregion (Holland et al., 2017). See Holland et al. (2017) for full explanation and interpretation of the final results, which might vary from that shown here.
Baseline drawdown is the maximum difference in drawdown (dmax) under the baseline relative to no coal resource development. Additional drawdown is the maximum difference in drawdown (dmax) between the coal resource development pathway (CRDP) and baseline, due to additional coal resource development. Landscape classes within operational and proposed pits are not included in this analysis. GAB = Great Artesian Basin, GDE = groundwater-dependent ecosystem
Table 6 ‘Non-floodplain or upland riverine (including non-GAB GDEs)’ landscape group: area (km2), stream network length (km) and number of springs (number) that exceed the 5th, 50th and 95th percentile estimates of baseline drawdown within the zone of potential hydrological change for the Maranoa-Balonne-Condamine subregion
Example only; do not use for analysis. This is an early draft of a table published in companion product 3-4 for the Maranoa-Balonne-Condamine subregion (Holland et al., 2017). See Holland et al. (2017) for full explanation and interpretation of the final results, which might vary from that shown here.
‘–’ means ‘not applicable’. Baseline drawdown is the maximum difference in drawdown (dmax) under the baseline relative to no coal resource development. Landscape classes within operational and proposed pits are not included in this analysis. GAB = Great Artesian Basin, GDE = groundwater-dependent ecosystem.
5.2.2.2 Example: Namoi subregion
The landscape classification used in the Namoi subregion defined four ‘lowland’ riverine classes based on their topographical and geomorphological features (i.e. lowland), their water regime (i.e. permanent or temporary) and the likelihood of intersecting with known surface expression groundwater-dependent ecosystems (GDEs). Lowland streams include the Namoi River and its tributaries, and are low‑gradient channels typically incised into alluvium with silt or sandy beds. There are limited riffles and fast water habitats in these streams and mostly pool habitat in those stream reaches with more temporary water regimes.
A receptor impact model for lowland riverine landscape classes modelled the relationship between cease-to-flow hydrological response variables (zero-flow days and maximum zero-flow spells) and average number of families of aquatic macroinvertebrate in edge habitat.
Surface water modelling data were available for approximately 46% of the total stream length classified as lowland riverine. The two most common lowland riverine landscape classes that are at risk from increases in the number of zero-flow days per year and annual maximum zero-flow spells are the ‘Permanent lowland stream’ and ‘Temporary lowland stream’ landscape classes. The ‘Permanent lowland stream’ landscape class encompasses 979.6 km in the zone of potential hydrological change and includes the Namoi River and lower reaches of its major tributaries: Mooki River, Maules and Coxs creeks and Peel River. There is a 50% chance of an increase of 20 or more zero-flow days per year in 16.9 km of the stream network classified as ‘Permanent lowland stream’ during the 2013 to 2042 simulation period. Although a much larger portion of the stream network in the zone of potential hydrological change is classified as ‘Temporary lowland stream’ only 9.5 km is at risk of a 50% chance of an increase of 20 or more zero-flow days (averaged over 30 years) (subsequently referred to in this Chapter as ‘zero-flow days’) (for the 2013 to 2042 simulation period). As an example of the potential surface water changes, Figure 12 presents the modelled increase in zero-flow days in the ‘Floodplain or lowland riverine’ landscape group, which encompasses the ‘lowland’ riverine classes, in 2042 in the zone of potential hydrological change of the Namoi subregion.
Figure 13 summarises the receptor impact model, and the modelled relationship between the average number of families of aquatic macroinvertebrate in edge habitat and the two cease-to-flow hydrological response variables considered. The statistical model that sits behind Figure 13 is used to make the predictions of the average number of families of aquatic macroinvertebrate in edge habitat for the lowland riverine landscape classes.
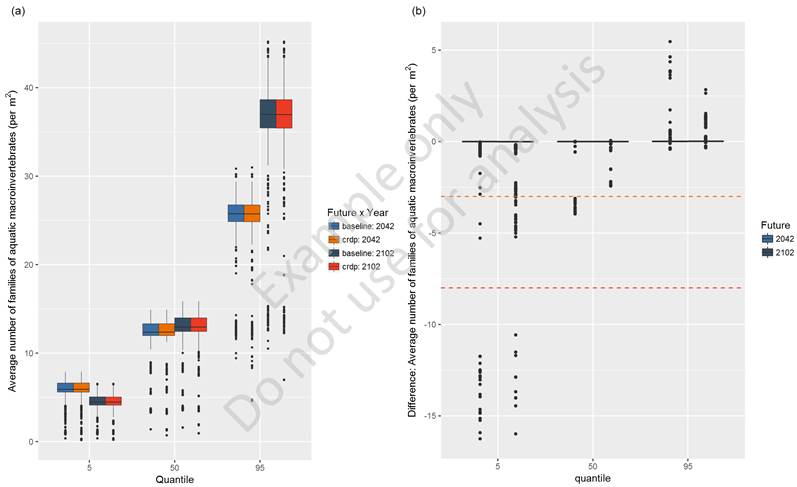
Figure 14a summarises the distributions of the 5th, 50th and 95th percentiles of the predicted number of families of aquatic macroinvertebrates across the landscape class for the two modelled futures. While there is large uncertainty surrounding the average number of macroinvertebrate families under both the baseline and CRDP futures, and in the assessment years 2042 and 2102, there is no evidence that the number of macroinvertebrate families would differ between the two futures for either the 5th percentile, median or 95th percentile estimates. The 95th percentile estimate suggests that the number of macroinvertebrate families could be larger in 2102 than in 2042.
While Figure 14a emphasises the overall distribution of the number of families of aquatic macroinvertebrates under the two different futures and the two time points, the link between CRDP and baseline model predictions is lost (e.g. the smallest observation under the baseline does not necessarily correspond to the smallest under the CRDP). Figure 14b emphasises this linkage by presenting the distribution of the differences between the CRDP and baseline model predictions for assessment units in the lowland riverine landscapes class as boxplots. The ‘box’ collapses to the thick line at 0 because for many assessment units the baseline and CRDP predictions are identical, and therefore the difference is 0. Declines in average number of families of aquatic macroinvertebrates due to additional coal resource development are similar between the simulation periods and range from approximately –16 to –17 families at the 5th percentile to approximately –4 to –3 families at the 50th percentile. An increase in average number of families of aquatic macroinvertebrates was observed in the 95th percentile.
Example only; do not use for analysis. This is an early draft of a figure published in companion product 3-4 for the Namoi subregion (Herr et al., 2018). See Herr et al. (2018) for full explanation and interpretation of the final results, which might vary from that shown here.
The mine extent in the CRDP is the sum of the mine extent in the baseline and the additional coal resource development (ACRD).
zero-flow days = the number of zero-flow days, averaged over a 30-year period
ZME = the maximum length of spells (in days per year) with zero flow, averaged over a 30-year period; ZQD = the number of zero-flow days per year, averaged over a 30-year period
Example only; do not use for analysis. This is an early draft of a figure published in companion product 2.7 for the Namoi subregion (Ickowicz et al., 2018). See Ickowicz et al. (2018) for full explanation and interpretation of the final results, which might vary from that shown here.
Example only; do not use for analysis. This is an early draft of a figure published in companion product 3-4 for the Namoi subregion (Herr et al., 2018). See Herr et al. (2018) for full explanation and interpretation of the final results, which might vary from that shown here.
The lowland riverine landscape classes in the Namoi subregion sit within a broader ‘Floodplain or lowland riverine’ landscape group that also includes floodplain wetland landscape classes and floodplain riparian forest landscape classes. While a common qualitative mathematical model underpins the ‘Floodplain or lowland riverine’ landscape group, a receptor impact model for the presence of tadpoles in pools and riffles habitat is considered for the floodplain wetland landscape classes, and the projected foliage cover of dominant riparian trees (river red gum) is considered for the floodplain riparian forest landscape classes.
To provide an overall indication of ecosystem risk across the ‘Floodplain or lowland riverine’ landscape group, the results of these receptor impact models were aggregated. This was done using the differences in predictions between the CRDP and baseline futures and each assessment unit and for each receptor impact variable, where model data were available. Two risk thresholds were defined for each receptor impact variable based on the spread of modelled differences across the relevant assessment units in the landscape group. For the average number of families of aquatic macroinvertebrate, assessment units were considered to be ‘at minimal risk of ecological and hydrological changes’ for decreases less than 3, ‘at some risk of ecological and hydrological changes’ for decreases between 3 and 8, and ‘more at risk of ecological and hydrological changes’ for decreases greater than 8. These thresholds are intended to emphasise the assessment units within the ‘Floodplain or lowland riverine’ landscape group that may be more risk than other parts of the landscape group, and therefore worthy of more emphasis in any subsequent follow up with local analyses and monitoring. Analogous thresholds were also selected for the projected foliage cover and the probability of presence of tadpoles.
Figure 15 presents the risk composite for the three receptor impact models, whereby the highest level of risk determined from one or more receptor impact variable for any assessment unit defines the overall level of risk for that unit. The strength of this representation is in the comparison within the landscape group because it provides a measure of the relative risk and emphasises where attention should focus, and also where it should not. Where assessment units are assessed as ‘more at risk’ than other parts of the landscape class or group they may receive a higher level of hydrological change, and possibly one that may be commensurate with some ecosystem change. While receptor impact variables are chosen as indicators of ecosystem condition for a landscape class, a more detailed and local consideration of risk needs to consider the specific values at the location that the community are seeking to protect, for example, particular assets, because that will help identify meaningful thresholds. It is also necessary because that will help identify meaningful thresholds, it is also necessary to bring in other lines of evidence that include the magnitude of the hydrological change and the qualitative mathematical models.
The greatest concentration of ‘more at risk’ and ‘at some risk’ assessment units are located along the Namoi River and its tributaries, Maules Creek, Back Creek and Bollol Creek (Figure 15). The existing condition of these stream reaches considered to be exposed to ‘at some risk’ or ‘more at risk’ is defined by the NSW River Condition Index (Healey et al., 2012). Of the 1425 assessment units included in one or more of the impact models, 51 were predicted to be ‘at minimal risk’ and 29 ‘more at risk’, with most of these risk categories being determined by potential impacts on lowland riverine landscape classes and floodplain wetland landscape classes. This mapping suggests that the combined instream value (based on distinctiveness, diversity, naturalness and vital habitat values) is high to very high in those potentially impacted reaches of the Namoi River and of low to medium along the tributaries (Department of Primary Industries, 2017).
Example only; do not use for analysis. This is an early draft of a figure published in companion product 3-4 for the Namoi subregion (Herr et al., 2018). See Herr et al. (2018) for full explanation and interpretation of the final results, which might vary from that shown here.
The level of risk: ‘at minimal risk’, ‘at some risk’ and ‘more at risk’ is presented for different assessment units where the receptor impacts are modelled for the different landscape classes. Remaining assessment units for the relevant classes in ‘Floodplain or lowland riverine’ group without receptor impact modelling and surface water modelling are also shown (green). Extent captures areas with ‘at some risk’ or ‘more at risk’ assessment units.
Receptor impact modelling integrates understanding from the conceptual model of causal pathways, hydrological modelling and expert opinion to estimate potential impacts to ecosystems, where receptor impact variables are considered to be indicators of ecosystem condition.
Prediction of changes to receptor impact variables is ultimately one line of evidence. Any assessment of risk, particularly at a local scale, needs to be considered in conjunction with the broader hydrological changes that may be experienced, the qualitative mathematical models (which may help in assessing the implications of those changes, including any direct and indirect effects), and local data and information (e.g. local conceptual models or understanding). In some cases, if there is no change in the landscape class-specific hydrological response variables, it can be inferred that potential ecosystem change is very unlikely.
For some landscape classes qualitative mathematical models exist but receptor impact models were not constructed because of the lack of availability of enough specific external ecological expertise for that landscape class or the prioritisation of effort across the different assessments in the Programme. It follows that potential changes for that landscape can only be characterised by predicted hydrological changes. It is important to stress that hydrological changes do not imply that there is impact – only that it cannot be ruled out on the basis of the hydrological change and that further investigation is required. That further work involves considering the nature of the water dependency of particular landscape classes within the zone of potential hydrological change. If a landscape class is not considered water dependent (e.g. dryland agriculture), then potential impacts to that landscape class may be ruled out.
5.2.3 Profiles of water-dependent assets
The principal focus of BAs is water-dependent assets that are nominated by the community and may have a variety of values, including ecological, sociocultural and economic values. The water-dependent asset register (product 1.3) provides a simple and authoritative listing of the assets within the assessment extent that are potentially subject to water-related impacts. This register has been extended beyond the initial community and local natural resource management agency consultation by identifying additional assets in key Commonwealth and state databases, engagement through BA workshops, and other consultation processes on the identification of Indigenous assets. The assets identified are assessed by the Assessment team for several things, including their fitness for BA purposes, their location within the assessment extent, and their water dependency. Only those assets that satisfy these requirements are considered further in BAs as described in companion submethodology M03 (as listed in Table 1) on assigning impact variables and receptors to water-dependent assets (O’Grady et al., 2016).
The following sections describe the assessment of impact and risks through asset profiles for ecological, economic and sociocultural water-dependent assets in turn.
5.2.3.1 Ecological assets
The summary or profile of potential impacts for an individual ecological asset follows the same process as for an individual landscape class and as presented in Figure 9. It is important to note that the spatial extent of many ecological assets, especially particular flora or fauna, is usually a potential habitat distribution, rather than a definitive extent that categorically says that the asset must occur in this area.
An individual asset extent is intersected with the zone of potential hydrological change. If the water resource or water-dependent asset falls outside the zone, then any water-mediated impacts that are attributable to additional coal resource development are assumed to be very unlikely. If the extent of the water resource or water-dependent asset intersects with the zone of potential hydrological change, either partially or fully, then the data relevant to the water-dependent asset may be summarised in terms of the potential hydrological changes (including considering the intersection of the asset on different levels of hydrological change) and potential ecosystem changes using an identical approach as for individual landscape classes and presented in Figure 9.
One distinction is that the hydrological or ecosystem changes that an ecological water-dependent asset may experience are typically broken down by landscape class to ensure relevant hydrological response variables (and receptor impact variables) are used. If a water-dependent asset is contained within a single landscape class the summary is simply the landscape class-specific hydrological response variables and receptor impact variables, but constrained to those assessment units containing the asset. If a water-dependent asset extends across more than one landscape class, for example, a national park that may contain both riverine and terrestrial GDEs, an analogous summary is provided for each of those landscape classes. It is highly likely that different landscape classes will be represented by different hydrological response variables and receptor impact variables.
Figure 16 is an illustrative example that shows assessment units coloured by discrete landscape classes (different colours), the boundary of a single asset, and the groundwater zone of potential hydrological change. The area of the asset within the zone of potential hydrological change can be summarised. In this case the asset within the zone comprises two landscape classes. The potential impacts for that asset may be summarised via the percentile summaries for the landscape class-specific hydrological response variables and receptor impact variables under the different coal resource development futures.
Any broader interpretation of the direction and magnitude of the potential hydrological or ecosystem changes for an asset must rely heavily on the systems thinking and qualitative mathematical models for the component landscape classes, as they provide the ability to consider direct and indirect effects associated with changes in hydrological response variables or receptor impact variables.
Individual asset profiles should be created for all ecological assets. These summarise the extent of the asset, its composition in terms of landscape classes and their intersection with the zone of potential hydrological change. Then for each landscape class that occurs within a water-dependent asset, the distribution of the hydrological response variables and receptor impact variables under the baseline and CRDP are summarised. Where possible, the hydrological response variables are limited to those that are relevant to that asset. The individual asset profiles are available as part of the BA Explorer, available at www.bioregionalassessments.gov.au/explorer/XXX/assets where XXX is a three-letter code for a bioregion or subregion (e.g. ‘MBC’ for the Maranoa-Balonne-Condamine subregion).
Ecological water-dependent assets that do not partially or fully intersect the zone of potential hydrological change are assessed as very unlikely to be impacted and are not analysed further.
The reporting of individual assets in product 3-4 is partly informed through stakeholder consultation as part of a series of user needs workshops with the Commonwealth regulators, state regulators and industry.
There are too many assets and individual asset profiles for all of them to be directly reported on for product 3-4 (impact and risk analysis). While some individual assets may be reported for important context or because they are in some way iconic to the bioregion or subregion, there is a need to address the great majority by appealing to the structure and hierarchy within the water-dependent asset register (product 1.3) and by summarising impacts and risks to subgroups of assets. For instance, ecological assets are classified in the ‘Groundwater feature (subsurface)’, ‘Surface water feature’ and ‘Vegetation’ subgroups. Each subgroup is then divided into a number of classes, for example, the ‘Surface water feature’ subgroup divides into ‘River or stream reach, tributary, anabranch or bend’ class.
The choice of the asset subgroups to use is a decision for the Assessment team but needs to consider the hierarchy within the asset register, the number and nature of the water-dependent assets, where the impacts to landscape classes are likely to occur, and the ability to construct a compelling narrative around how hydrological change induced by coal resource development may impact water-dependent assets. The narrative should be supported by the conceptual modelling evidence base and the causal pathways and linkages back to the hazards.
The intersection of subgroups of assets with the zone of potential hydrological change is an important way of screening impacts to water-dependent assets. The extent may be summarised by area, length or number of points for each subgroup. Numbers of assets in a subgroup that fall within the zone may be tabulated.
5.2.3.1.1 Example: Maranoa-Balonne-Condamine subregion
Other plots and tabulations analogous to landscape classes but for asset subgroups may be useful. For example, Figure 17 considers an asset subgroup related to the threatened species and ecological communities listed under the Commonwealth’s Environment Protection and Biodiversity Conservation Act 1999 in the Maranoa-Balonne-Condamine subregion. Figure 17 presents the median baseline drawdown and additional drawdown experienced by that asset subgroup in the zone of potential hydrological change in the vicinity of New Acland Coal Mine and The Range coal mine.
Example only; do not use for analysis. This is an early draft of a figure published in companion product 3-4 for the Maranoa-Balonne-Condamine subregion (Holland et al., 2017). See Holland et al. (2017) for full explanation and interpretation of the final results, which might vary from that shown here.
Baseline drawdown is the maximum difference in drawdown (dmax) under the baseline relative to no coal resource development. Additional drawdown is the maximum difference in drawdown (dmax) between the coal resource development pathway (CRDP) and baseline, due to additional coal resource development. Areas within operational and proposed pits are not included in this analysis. ACRD = additional coal resource development, CSG = coal seam gas
While a direct hydrological response variable summary is possible here (because drawdown is available throughout the assessment extent), many assets and asset subgroups will need to be linked to their constituent landscape classes and the quantitative mathematical models that are constructed for them to provide a richer interpretation of the potential impacts.
5.2.3.2 Economic assets
Economic assets refer to water-dependent assets within a bioregion’s or subregion’s asset register for which the potential impacts due to coal resource development result in a readily measurable economic cost. Economic assets include the water resources themselves (i.e. water sources that are providing an economic benefit), the water supply works associated with accessing water from a water source (e.g. bores, pumps) and the entitlements and rights held by individuals or companies to use water for beneficial use.
The potential impacts from hydrological changes due to coal resource development include changes to water availability, reliability of supply and accessibility, which are the focus of the assessment of potential economic impacts. It is beyond the scope of BA to put a dollar value on the economic impacts, instead BAs identify the resources and water supply works that are potentially at risk.
Table 7 lists the economic asset classes within each bioregion or subregion. Economic water-dependent assets are confined to surface water and groundwater management zones or areas and comprise specific water access entitlements or rights and other water supply features or infrastructure. Within these classes there may be many individual asset elements (e.g. multiple water supply bores within a groundwater management zone).
Table 7 Economic water-dependent asset subgroups and classes
Potential impacts to economic assets are tied more directly to potential hydrological changes than for ecological assets. There is no need for receptor impact modelling as the range of potential hydrological change can be considered against meaningful thresholds such as those specified by the NSW Aquifer Interference Policy (NSW Office of Water, 2012) or the requirements of water resource plans under Queensland’s Water Act 2000.
The hydrological response variables relevant to assessing potential impacts due to additional coal resource development on economic assets in the subregions are:
- decrease in average annual flow – indicates a long-term change in water availability
- increase in the number of zero-flow days per year – indicates a change in reliability of water supply for water sources where the cease-to-pump rule is based on ‘no visible flow’ at specified points within the water source, or where the cease-to-pump rule is yet to be defined and individual licence conditions apply
- increase in the number of days when flow is below a specified flow rate – indicates a change in reliability of water supply for water sources where the cease-to-pump rule for a water source is based on a specified ‘very low flow class’ daily flow rate
- if system is regulated, and there are environmental water releases from the storages to meet minimum flow requirements, then difference in dam releases at nearest model nodes downstream of the storages. This provides measure of the extent to which more environmental water is needed to compensate for losses in streamflow due to additional coal resource development and potentially has an impact on the consumptive pool, hence available water determinations
- number of bores where ‘make good’ provisions (or equivalent) might apply with some probability (e.g. with at least a 5% chance as per zone of potential hydrological change). Under the NSW Aquifer Interference Policy (NSW Office of Water, 2012) the focus will be on bores in the greater than 2 m drawdown zone. In Queensland, the requirements of water resource plans under Queensland’s Water Act 2000 will centre on greater on 2 m drawdown for unconsolidated aquifers (e.g. in alluvial sands) and greater than 5 m of drawdown in consolidated rock aquifers (e.g. confined sandstone aquifers of the GAB).
These hydrological response variables are based on the maximum difference between the CRDP and the baseline for the full 90-year simulation period (2013 to 2102).
5.2.3.2.1 Example: groundwater economic assets in the Maranoa-Balonne-Condamine subregion
Unlike other landscape classes and assets, where potential hydrological changes to the regional watertable are most relevant, it is important to determine the source aquifer of each individual bore for the impact and risk analysis (Figure 18). This is achieved by comparison with available datasets that contain aquifer information for each bore, and is commonly presented in product 1.5 (current water accounts and water quality). Where this information is not available, the Assessment team can assume that these bores access the shallowest hydrogeological layer in that assessment unit (i.e. the regional watertable). Any potential hydrological changes to surface water economic assets are assumed to be related to the regional watertable in the absence of surface water modelling.
Example only; do not use for analysis. This is an early draft of a figure published in companion product 3-4 for the Maranoa-Balonne-Condamine subregion (Holland et al., 2017). See Holland et al. (2017) for full explanation and interpretation of the final results, which might vary from that shown here.
Baseline drawdown is the maximum difference in drawdown (dmax) under the baseline relative to no coal resource development. Additional drawdown is the maximum difference in drawdown (dmax) between the coal resource development pathway (CRDP) and baseline, due to additional coal resource development (ACRD).
For groundwater, potential impacts due to additional coal resource development are assessed by considering the overlap of the spatial extent of individual asset elements with the zone of potential hydrological change for each aquifer or model layer (e.g. regional watertable, deeper aquifers). Where there is no overlap, potential impacts are considered very unlikely and are not analysed further.
The overlay analysis is summarised by the number of individual groundwater bores that overlie the zone of potential hydrological change. This may be reported through a series of maps, figures and tables. The specific presentation options for economic assets is an Assessment team choice. As an example, Figure 19 presents the distribution of exceedance probabilities of two important drawdown thresholds (0.2 m and 5 m) for four groundwater resource management groups in the Maranoa-Balonne-Condamine subregion. This enables the reader to identify how many bores may exceed either of those thresholds for a given level of certainty. For instance, for the Condamine and Balonne Water Resource Management Plan (top left plot) it is almost certain (chance of exceedance greater than 0.95) that five bores will exceed 5 m of additional drawdown. The locations of these bores may then be examined through map products (not shown here).
Example only; do not use for analysis. This is an early draft of a figure published in companion product 3-4 for the Maranoa-Balonne-Condamine subregion (Holland et al., 2017). See Holland et al. (2017) for full explanation and interpretation of the final results, which might vary from that shown here.
Additional drawdown is the maximum difference in drawdown (dmax) between the coal resource development pathway (CRDP) and baseline, due to additional coal resource development.
5.2.3.3 Sociocultural assets
Sociocultural assets are classified into ‘Heritage site’, ‘Indigenous site’ or ‘Recreation area’ classes. The water-dependent asset register considers sociocultural assets to be water dependent based on the presence of floodplain and wetland areas and shallow groundwater within their spatial extent.
In the absence of being able to undertake any more detailed appraisal of why Indigenous people have nominated individual assets, the criteria for water dependency for Indigenous assets is simply to assume that all are water dependent.
The overlay analysis is used to determine whether sociocultural assets are considered either ruled out or subject to further investigation. Water-dependent assets that do not partially or fully intersect the zone of potential hydrological change are ruled out from potential impacts and are not analysed further. The overlay analysis is summarised by the extent (area, length or number of points) of each subgroup that overlies the zone of potential hydrological change as per ecological assets and landscape classes. The specific maps, figures and table presentations used are in product 3-4 (impact and risk analysis).
For Indigenous assets that are aspatial it is not possible in BAs to undertake any type of overlay analysis, and the analysis is more limited because it is not even clear if those assets are within the zone of potential hydrological change.
In some cases, sociocultural assets, particularly Indigenous or recreation areas that are ecological in character, relate directly to ecological assets. Where that is the case, the assessment of impact and risks for that ecological asset is highly relevant to that sociocultural asset and that connection should be made.
5.3 Summary of impacts and risks for a bioregion or subregion
The three impact profiles provide a structured way to interrogate the large and complex information base that is generated through a BA.
The hydrological changes profiles summarise the broader hydrological changes across the bioregion or subregion, and introduce the zone of potential hydrological change as the focal point for assessing potential impacts (and non-impacts). The landscape classes profile provides a natural aggregation to meaningful biophysical ecosystems, and is the most appropriate resolution to consider any changes in receptor impact variables given they are selected as indicators of those ecosystems. The qualitative mathematical modelling for a landscape class provides the opportunity to consider potential direct and indirect impacts for that landscape. The assets profile is important because a water-dependent asset speaks to the values contributed by the community. The choice of meaningful subgroups of assets allows the assessment to synthesise potential asset impacts and address the large number of assets. Individual asset profiles, and their split into changes within contributing landscape classes for each asset, provide the ability to see potential hydrological and ecosystem changes that an asset may experience. While the information from individual asset profiles is only presented in a limited way in product 3-4 (impact and risk analysis) due to the large of number of assets, each of those individual asset profiles are available as part of the BA Explorer (see www.bioregionalassessments.gov.au/explorer/XXX/assets where XXX is a three-letter code for a bioregion or subregion (e.g. ‘MBC’ for the Maranoa-Balonne-Condamine subregion)). This provides additional functionality to identify individual assets and which assets are assessed as experiencing no potential impacts, which may be restricted such as some Indigenous assets, and those that fall within the zone of potential hydrological change and therefore may experience some change. The direct communication of results from the product 3-4 (impact and risk analysis) and BA Explorer (www.bioregionalassessments.gov.au/explorer) with interested groups, such as during impact and risk workshops and any subsequent community-level consultation, provides the opportunity to refine the presentation of outputs.
The impact and risk analysis needs to flag where future efforts of regulators and proponents should be directed, and where further attention is not necessary for the CRDP considered in the BA. This is emphasised through the ‘rule out’ process, which progressively seeks to prioritise this analysis by focusing on the areas where hydrological changes are predicted (Figure 20). In doing so it identifies areas, and consequently water resources and water-dependent assets, that are very unlikely to experience any hydrological change or impact due to additional coal resource development.
Figure 20 Illustration of the ‘rule-out’ process within bioregional assessments
CRDP = coal resource development pathway; GW = groundwater; HRV = hydrological response variable; LC = landscape class; PAE = preliminary assessment extent; RIV = receptor impact variable; sign-directed graph = signed digraph; SW = surface water; ZPHC = zone of potential hydrological change
Spatial areas, and water resources and water-dependent assets, that are ruled out are something that can typically be communicated strongly due to the high level of confidence in the ability of the assessment process to rule out areas of hydrological change. The confidence in modelled predictions is directly related to the strengths of the regional hydrological models, their ability to reflect broad-scale hydrological changes related to impacts that may accumulate from multiple sites and styles of coal resource development, and the wide range of parameter distributions and combinations (e.g. aquifer hydraulic conductivities are assessed across several orders of magnitude) propagated through the models. Where there are changes predicted, and particularly close to the mine or CSG operations, the assessments are confident in asserting that hydrological changes are likely to occur, but less confident in the precise magnitude or extent of propagation of those changes from depth to the surface. This is because the regional-scale groundwater model or surface water model apply simplified conceptualisations that are appropriate for regional-scale analysis but may not be unable to adequately reflect known local-scale structures, stratigraphy and operations. There is consequently much greater confidence in the ability of a BA to identify areas where potential impacts may occur, rather than quantify the precise magnitude of those impacts.
The development and evaluation of hydrological models and receptor impact models, underpinned by conceptual models, will provide a coherent and principled basis for describing potential impacts in a bioregion or subregion, however, they are only a component of the analysis. There will be a broader knowledge and expert opinion base that cannot be represented in the modelling components. The Assessment team needs to ensure that this broader knowledge is incorporated into the assessment wherever possible. For example, while salinity is not modelled in BAs, it is possible to make qualitative statements about potential impacts based on the knowledge and modelling information that is available. This should also discuss the uncertainty in the final analysis and comment on its source as well as discuss how additional information and knowledge could improve the analysis.
The assessment of impacts may not be possible at all locations, for example, because the model does not provide an adequate outcome. Where the assessment of impacts is not possible, this will be identified as a gap and reported in the impact assessment.
While these impact profiles provide important structure and summaries for the impact and risk analysis, they still contain a substantial amount of information given the numbers for features such as water-dependent assets, landscape classes, hydrological response variables, and receptor impact variables that need to be considered across the different futures and time points. Information from those profiles needs to be complemented by descriptions of what those changes may mean wherever possible because it is that ‘so what’ that will resonate with the reader. The overall intent of that narrative should be on the big picture, describe what is unlikely to happen, what might happen, and what is considered very likely to happen, under baseline and CRDP in a bioregion or subregion. That synthesis and narrative should underpin many of the key findings in a BA.
5.4 Content for product 3-4 (impact and risk analysis)
The content presented in product 3-4 (impact and risk analysis) for a bioregion or subregion follows the structure outlined in Table 8. The core of product 3-4 comprises the three profiles (summarised in Figure 8) through this information, namely the impact and risk profiles related to the hydrology, landscape classes and water-dependent assets. Details on the gaps, limitations and opportunities of the assessment are important in identifying a set of factors that assist in determining confidence in predicted risk outcomes and how the assessment may be built upon.
Table 8 Outline for product 3-4 (impact and risk analysis), and brief description of suggested content
METHODOLOGY FINALISATION DATE
- 1 Introduction
- 2 Design choices for the impact and risk analysis
- 3 High-level logic and workflow
- 4 Impact and risk predictions for assets and landscape classes
- 5 Reporting and communicating impacts and risks
- 6 Building on the impact and risk analysis
- Appendix A Methods for structuring and processing data for bioregional assessment impact and risk analysis purposes
- References
- Datasets
- Citation
- Acknowledgements
- Contributors to the Technical Programme
- About this submethodology












