Breadcrumb

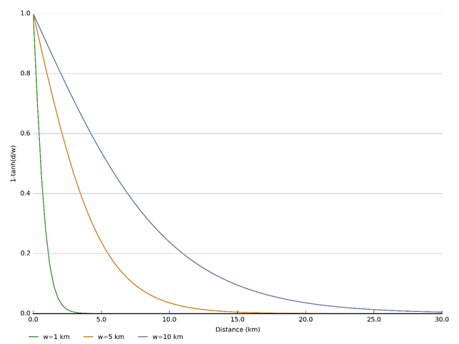
Figure 38 Weights of observations in objective function in function of the distance between observation and prediction for different values of w

More Information

The data links listed on this page connect to the relevant landing page on the information service data.gov.au. From this external site publically available datasets may be downloaded.

This information is provided to enable the identification, review and understanding of the datasets used in the bioregional assessments and their origins. This list of datasets enhances the transparency of the science by the Bioregional Assessments Programme. 

More information about metadata and datasets is available here.